거듭제곱 (Power)
주어진 수나 문자를 주어진 횟수만큼 여러번 곱하는 이항연산을 말한다.
두 가지 순환 알고리즘과 하나의 반복적인 알고리즘을 통한 계산 방법이 있다.
순환
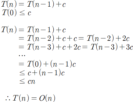
1. 순환적인 팩토리얼 알고리즘과 동일한 방법
정의

소스코드
def power(x, n):
if n == 0:
return 1;
else:
return x * power(x, n-1)
시간복잡도

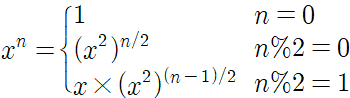
2. xn = (x2)n/2 공식을 이용한 방법
정의

소스코드
def half_power(x, n):
if n == 0:
return 1
elif n % 2 == 0:
return half_power(x**2, n/2)
elif n % 2 == 1:
return x * half_power(x**2, (n-1)/2)
시간복잡도

공식을 이용한 두번째 방법은 순환 호출이 일어날 때 문제의 크기가 절반으로 줄어든다.
그래서 n 값이 0 이 될 때 까지 반복대치를 진행하였을 경우, n 값이 일정하게 감소하는 알고리즘과는 달리 n 번 반복되었다고 할 수 없다.
문제의 크기가 절반으로 줄어든다는 점에 주목하여 n = 2k, k = log2n 으로 가정하고 순환을 모두 마쳤을때의 표현을 k 로 하자. 참고로 n 을 2k 로 가정하는것은 단조증가함수라고 하여 점근적 복잡도를 구현하는데 전혀 지장을 주지 않는다고 한다.
이어서 k 로 나타낸 식을 log2n 으로 치환하면 O(log2n) 복잡도를 얻을 수 있다.
반복
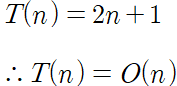
소스코드
def slow_power(x, n):
product = 1
for i in range(0, n):
product *= x
return product
시간복잡도

댓글